*
 

iForest - Biogeosciences and Forestry

iForest - Biogeosciences and Forestry
*

Short-term recovery of fine root carbon stock is inhibited by skid trails in a humid tropical forest

iForest - Biogeosciences and Forestry, Volume 18, Issue 6, Pages 344-349 (2025)
doi: https://doi.org/10.3832/ifor4756-018
Published: Nov 30, 2025 - Copyright © 2025 SISEF

Research Articles

Impacts of logging on below-ground carbon stocks are less well understood than those on above-ground carbon stocks. Consequently, there is a sizeable knowledge gap regarding fine root recovery and their contribution to below-ground carbon stocks. The objective of this study was to quantify whether short-term recovery of fine root carbon stock occurred after harvesting operations. Three blocks each consisting of a single skid trail and an undisturbed old-growth forest (control) were utilized. Skid trails were heavily compacted by 12 tractor passes during the dry season. After nearly 3 years, 60 samples of fine root biomass (FRB) were collected, along with 60 additional soil samples for chemical analysis. Results showed that despite similar soil chemical properties between skid trails and controls, there was no apparent short-term recovery of FRB. Indeed, there was a 57.1% difference between fine root carbon stocking in skid trails at 1.0 Mg ha-1 compared to the undisturbed controls with 1.8 Mg ha-1. These results indicate that the recovery of FRB and C stocks takes at least several years; as such, skid trails should be planned to minimize disturbance to the forest floor, which will help reduce impacts on below-ground carbon pools. More research is needed to ascertain when fine roots do recover, so that future assessments of below-ground carbon stocks can be accomplished with greater confidence.

Amazon, Logging Impacts, Soil Compaction, Machinery Traffic, Ferralsol

  Introduction 

The world’s forests are an immense carbon sink, with above- and below-ground stocks in tropical forests accounting for the majority of the global forest carbon sink ([34]). However, the tropical carbon sink is threatened by deforestation, drought, and fires ([35], [48]). Human activities are largely responsible for impacts on the carbon sink through land-use changes for agriculture and forest degradation from logging ([18], [3]). Logging primarily affects above-ground carbon stocks through tree removal, especially at higher logging intensities, and these effects may persist for decades ([38], [41]). The impacts of logging on carbon pools are not limited to the above-ground carbon pool. Indeed, Chiti et al. ([6]) found impacts on soil organic carbon 45 years after selection logging at a depth of 1 m in Ghana. The degradation of soil organic carbon is primarily driven by logging infrastructure, such as skid trails, log landings, and roads ([46], [40]). Studies on the impacts of logging infrastructure in both temperate and tropical forests have consistently shown that increases in soil compaction are correlated with decreases in soil organic carbon ([33], [44], [14]).

In addition to impacts on soil organic carbon, the forest site’s capacity for carbon storage is diminished by the impoverishment of fine roots. This is because fine roots are an important contributor to soil organic matter accumulation and provide substantial soil C from root exudates and necromass ([19], [49]). Logged forests have been shown to have higher fine root turnover, accompanied by a greater increase in fine root debris to the soil organic matter pool, compared to unlogged forests ([37]). However, after several decades, Da Silva et al. ([11]) found no difference in fine root biomass between old-growth and logged forests in Malaysia. In other tropical forests, logged stands had higher FRB levels after 6 years in Cameroon and after 54 years in Ghana ([1], [21]).

Fine roots are mostly affected by logging, which compacts soil with logging machinery ([28], [24]). This is because fine root production occurs predominantly at soil depths of 2.5 to 10 cm ([7], [39]), which is also where soil disturbance by construction and the use of skid trails and landings is substantial. In some cases, this soil degradation from logging has resulted in fine root impoverishment in skid trails for decades ([13], [23]).

As skid trails alone can cover over 20% of the logged area ([12]), damage to fine roots and their ability to sequester carbon can be considerable. The compacted soil environment of skid trails inhibits root growth due to increased soil strength, reduced macroporosity, and changes to soil chemical properties ([33], [24]). Losses in macroporosity may lead to anaerobic soil conditions, resulting in reduced fine root production and biomass ([47]). Also, increased skidding traffic has been shown to reduce soil levels of vital nutrients necessary for fine root growth ([33], [40]). In contrast, skid trails have been shown to have higher levels of Mg and Ca over time ([23], [15]). Because skid trail compaction may alter soil chemistry, it is essential to evaluate soil chemical concentrations relative to FRB and their impacts on the recovery process. For example, studies have demonstrated that FRB is positively correlated with Ca and negatively correlated with Mg ([5], [42]). Soil compaction losses in phosphorus (P) could worsen in soils that are already low in available phosphorus, which is a limiting factor for fine root productivity in the Amazon. ([9]). However, numerous studies have shown P accumulation in skid trails after a decade or more ([23], [15], [16]).

Given the critical role of fine roots in carbon stocks and net primary productivity (NPP) in lowland rainforests ([20]), it is essential to understand when recovery occurs in degraded forest soils. This knowledge is crucial for properly assessing and calculating forest carbon stocks and NPP, especially in the compacted soils of logging infrastructure. Several studies have demonstrated an incomplete recovery of FRB in skid trails after 5-7 years ([24], [32]). In contrast, other studies have found no difference in fine root density or biomass even 7, 13, and 20 years after logging and compaction in skid trails ([16], [15], [32]), with the earliest reported recovery of FRB in Iranian skid trails after 5 years ([24]).

The recovery timeline of fine root biomass and fine root carbon stock in soils compacted by logging machinery remains uncertain. A recent meta-analysis on the effects of ground-based machinery on fine roots found no recovery trend in the increase of fine roots over time. In contrast, soil bulk density was reported to be highly correlated with fine root distribution ([28]). Nonetheless, increases in root growth do not necessarily result in decreases in soil bulk density ([26]). This is evident in a recent study in the Amazon, which found that fine root biomass in skid trails with the highest bulk density was not different from that in undisturbed old-growth forest ([15]). In this study, two hypotheses were tested: (i) soil chemical properties influence fine root biomass recovery in heavily compacted experimental skid trails, and (ii) in heavily compacted skid trails, fine root biomass and carbon stock do not recover in the short term.

  Materials and methods 

Study area

The study site is located in the Amazon biome (Fig. 1) in the state of Amazonas, Brazil, north of the capital city of Manaus (o2° 38′ S, 60° 09′ W). According to the Köppen classification system, the area has a tropical climate (Af) with a mean temperature of 26 °C, and an annual precipitation of more than 2200 mm ([2]). One month before sampling, site precipitation was 178 mm, and a week prior, 22 mm (Fig. 2). The topography consists of a plateau with a forest where soil has been classified as a Geric Ferralsol (Alumic, Hyperdystric, Clayic - [36]). At this site, soil texture at the surface 5 cm is 68% clay, 21% silt, and 11% sand ([14]).

Fig. 1 - Location of the study site.

  Enlarge/Shrink   Download   Full Width  Open in Viewer

Fig. 2 - Total monthly precipitation at the study site.

  Enlarge/Shrink   Download   Full Width  Open in Viewer

Study design and sample collection

The experiment was established in 2021 to compare the impacts of increased logging traffic and seasonal differences in soil moisture on soil compaction. The initial study included three blocks, each with six treatments and a control. Treatments included skid trails with traffic intensities of 1, 3, and 12 machine cycles in both the wet and dry seasons. A machine cycle consisted of one ingress followed by the skid trail’s subsequent egress. These differing machine cycles were meant to represent the various skid trail traffic intensities of logging operations: 1 - tertiary skid trails, 3 - secondary trails, and 12 - primary skid trails. In 2023, small-scale logging in the area reused most of the skid trails for log skidding. However, the dry season treatment consisting of 12 machine cycles, as well as the undisturbed controls, were not used in the small-scale logging. These unaffected trails and controls were preserved for the present study (Fig. 3). In each of the three blocks, two sub-blocks were designated: a control replicate and a skid trail replicate. The dry-season skid trails with 12 machine cycles were previously compacted to a mean bulk density of 1.05 g cm-3, representing a 28% increase over the undisturbed old-growth forest controls at 0.82 g cm-3 ([14]).

Fig. 3 - Sampling schema at the study site, which included three blocks, each having a treatment skid trail compacted by 12 machine cycles and a control (C).

  Enlarge/Shrink   Download   Full Width  Open in Viewer

At the end of June 2024, approximately 3 years after skid trail construction in the dry season, samples for soil chemical properties and fine root biomass (FRB) were collected. Before collecting the samples, a 25 m metric tape was stretched across each sub-block replicate, and a random number generator was used to select the sampling locations. Soil samples were collected in the mineral soil surface (0-5 cm) in skid trail tracks and undisturbed old-growth forest, after the litter layer and organic matter were gently scraped away. In each sub-block replicate, 10 samples for FRB and 10 samples for soil chemical properties were collected. For the skid trail sub-blocks, half the samples were taken from the right tracks and the other half from the left tracks. Samples were placed in sealable plastic bags before transport to the laboratory. In total, 60 samples for FRB (skid trails n = 30, controls n = 30) and 60 samples for soil chemical properties (skid trails n = 30, controls n = 30) were collected. The FRB samples were collected with steel sampling cores 5 cm in height, 100 cm3. Adjacent to the FRB sample location, a 5 × 5 × 5 cm soil block was excavated for soil chemical analysis.

For FRB samples, soil was carefully washed away under running water using mesh screens to capture root tips and fragments. All fine roots < 2 mm were then dried for 72 h at 65 °C and weighed. Fine root C stocking was calculated as 45% of dry FRB ([20]). Sampling for soil chemical properties, including pH, Ca2+, Mg2+, and Al3+, was conducted at INPA’s soil laboratory (Laboratório Temático de Solos e Plantas - LTSP). Soil pH was determined using 10 g of dry soil and 25 mL of distilled water, which was agitated for 1 minute. For exchangeable cations, 5 g of dry soil and 50 mL of a 1 mol L-1 KCl solution were used for a single extraction. Then Ca and Mg were determined by atomic absorption, and Al by titration. A more detailed description of soil chemical analysis can be found in Teixeira et al. ([45]).

Data analysis

All data were evaluated using a nested ANOVA because only differences between groups (treatment and control) were of interest, not the differences between subgroups (replicates), which were random ([30]). Respective replicates were nested in either the skid trail treatment (n = 3) or the control (n = 3). This approach was used because the data were balanced and the nesting structure was simple. Moreover, because the study was not conducted across different areas, there was no site-level random effect to consider. Additionally, Spearman’s correlation coefficient (rs) was used to evaluate the relationship between variables. The statistical software used was SPSS® Statistics ver. 29.0.2.0 (IBM, Armonk, NY, USA).

  Results 

Fine root biomass and soil chemical properties

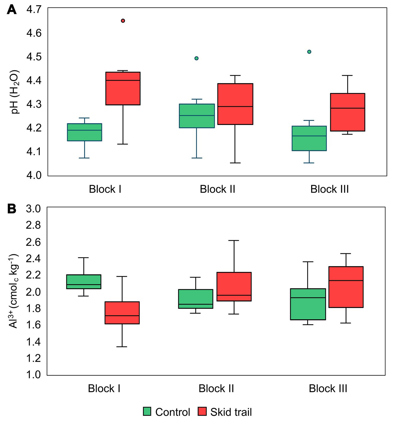
When stratified into skid trails or controls, there were no correlations between fine root biomass (FRB) and soil chemical properties. However, when combined, there was a moderate negative correlation between pH and FRB (rs = - 0.408, p = 0.001). Overall, soil chemical properties were similar across skid trails and controls (Tab. 1), although orange soil mottles were observed exclusively in the skid trails (Fig. 4). However, the range of pH values was slightly higher in the trails (4.05 - 4.65), compared to the controls (3.92 - 4.52 - Fig. 5A). Exchangeable aluminum had a greater range in the skid trails, 1.33 - 2.61 cmolc kg-1, as opposed to 1.60 - 2.40 cmolc kg-1 in the controls (Fig. 5B). These two chemical properties, pH and Al3+, where very strongly and negatively correlated in the skid trails (rs = -0.809, p < 0.001), whereas in the controls the relationship between the two properties was weak (rs = -0.265, p = 0.156). However, there was no observable influence from soil chemical properties evaluated on FRB within the skid trails.

Tab. 1 - Mean values and standard deviations (±) for soil chemical properties and fine root biomass ( < 2 mm) in controls and skid trails.

Variable Controls Skid trails F P
pH (H2O) 4.201 ± 0.11 4.309 ± 0.12 6.349 0.065
Ca2+ (cmolc kg-1) 0.019 ± 0.02 0.026 ± 0.02 0.795 0.423
Mg2+ (cmolc kg-1) 0.074 ± 0.02 0.068 ± 0.02 0.586 0.487
Al3+ (cmolc kg-1) 1.973 ± 0.20 1.952 ± 0.29 0.025 0.883
Fine root biomass (g m-2) 409.0 ± 92.3 220.1 ± 99.9 67.158 0.001

  Enlarge/Reduce  Open in Viewer

Fig. 4 - Soil profile of (A) skid trail soil with orange mottles and (B) undisturbed forest soil with extensive macroporosity.

  Enlarge/Shrink   Download   Full Width  Open in Viewer

Fig. 5 - Box plots for (A) pH, (B) exchangeable Al. Outliers represented by infilled circles.

  Enlarge/Shrink   Download   Full Width  Open in Viewer

Short-term status of fine root biomass and carbon stocks

Fine root biomass (FRB) in the skid trails was substantially lower than in the controls (Tab. 1). This resulted in a difference of 57.1% between control and skid trail fine root carbon stock (Fig. 6), with a mean of 1.8 Mg ha-1 for the controls and 1.0 Mg ha-1 for the skid trails. In the skid trails, 76.7% of all samples were below the minimum sample value of 264.9 g m-2 detected in the controls, although in each of the three skid trail replicates, there were samples found near or above the control minimum, with a single skid trail sample of 607.5 g m-2.

Fig. 6 - Box plots for fine root carbon stocks in undisturbed soil in controls and skid trails. Outliers are identified with infilled circles.

  Enlarge/Shrink   Download   Full Width  Open in Viewer

  Discussion 

Influence of soil chemical properties on fine root biomass

No influence of soil chemical properties on fine root biomass (FRB) was observed in the present study; therefore, the first research hypothesis was not supported. Nevertheless, soil mottles were observed in the studied skid trails, which are indicative of fluctuations between reducing and oxidizing conditions ([22]). Thus, there is evidence that the skid trails experience longer periods of soil saturation than the mottle-free controls. Soil mottling and other hydromorphic features have also been reported in compacted skid trails in Canada and Germany ([31], [27]). This is an issue for fine roots, as fine root productivity and biomass decline, along with increased mortality, under anaerobic soil conditions ([47]). Anaerobic soil conditions are caused by heavy machinery traffic in high-use skid trails, which destroys macropores ([33]). The loss of macropores is also an issue for fine roots, as roots prefer to grow in existing pores rather than to create new pores through bioturbation ([26]). Lastly, given that pH and exchangeable cations were similar in both skid trails and controls, it appears that the soil chemical properties evaluated did not influence differences in FRB.

Lack of recovery in the short-term for fine root biomass and carbon stocks

There was no observable short-term recovery of fine root biomass (FRB) in skid trails after almost 3 years, confirming the second research hypothesis. The single isolated and elevated FRB sample in the skid trails was likely due to uncompacted soil rather than recovery. The skid trail surfaces were not scraped clean with the tractor blade, leaving litter and large tree roots, which could have protected the mineral soil below. A lack of short-term recovery of fine roots in skid trail tracks has been observed in other regions, such as Germany, after 6 years ([16]). Nonetheless, in another short-term study in Iran, Jourgholami et al. ([24]) observed recovery of FRB in skid trails with a dense overhead canopy after 5 years, whereas FRB in skid trails in clearcuts and natural gaps remained impoverished. The absence of FRB recovery in the present study is not surprising, considering FRB turnover. In the Central Amazon, the average lifespan of FRB is 3.7 years ([7]). As the presence of FRB is highly correlated with soil C stock ([8], [10]), more time is likely needed for soil C stocks to build up from several turnover cycles. This is because fine roots are a substantial contributor to soil organic matter (Lin & Zeng 2017). However, this process is seriously inhibited in highly compacted skid trails, as fine root presence is negatively correlated with increased soil compaction ([28]). Studies have consistently demonstrated that root lengths, rooting depths, and root biomass are substantially reduced in skid trails ([4], [33]), which results in lower contributions to soil C stocks over time. Even after FRB recovery, soil organic carbon had not recovered in the same skid trails after 5 and 13 years ([24], [15]). In contrast, after 28 and 30 years of skid trail recovery, both FRB and soil C had recovered ([43], [13]).

Due to the slow recovery process of FRB and carbon stocks, improving degraded skid trail soils would enhance carbon storage and sequestration potential. Generally, skid trails are left to recover naturally over time, which may take decades or longer ([12]). Nevertheless, several studies have shown that there are methods to increase fine root production in skid trails, with the added benefits of lower soil bulk density and greater soil C accumulation. After four years of recovery, trails treated with various leaf mulch revealed increased FRB and soil C compared to untreated trails ([25]). Another approach involved planting a pioneer species - Alnus incana - adjacent to skid trails, which lowered soil bulk density and increased fine root density in the skid trails after 8 years ([17]). As the skid trails in the present study will not receive any amelioration, the estimated recovery time for FRB and carbon stocks will likely exceed a decade, or approximately three fine root turnover cycles. However, this study is limited to a single area in the humid tropics; therefore, care should be taken when extrapolating these results elsewhere.

  Conclusion 

In the tropical forests of Amazonia, skid trails are a vital component of logging operations. Nevertheless, their implementation and use directly affect the fine root carbon stock of the stand. This impact lasts for years in heavily impacted primary skid trails. Calculations of carbon stocking and net primary productivity need to account for reduced fine root capacity in logged stands. However, primary skid trails are just one part of a functioning skid trail system, which includes many more tertiary and secondary skid trails. Future research should consider differences in skid trail traffic intensity and their impacts on soil carbon stocks, net primary productivity, and recovery processes over time. Our results further emphasize the need to carefully plan skid trail systems in timber harvesting operations to protect the below-ground carbon pool as much as possible.

  Competing interests 

The authors declare there are no competing interests.

  Data availability 

Data will be made available on request.

  Acknowledgments 

The authors would like to thank the CNPq - Conselho Nacional de Desenvolvimento Científico e Tecnológico, Capes, and Fapeam for grant funding. In addition, the authors would like to thank INCT - Instituto Nacional de Ciência e Tecnologia Madeiras da Amazônia and the PPG-CFT Programa de Pós-Graduação em Ciências de Florestas Tropicais for their scientific and financial support of the research project.

  References

(1)
Addo-Danso SD, Prescott CE, Adu-Bredu S, Duah-Gyamfi A, Moore S, Guy RD, Forrester DI, Owusu-Afriyle K, Marshall PL, Malhi Y (2018). Fine-root exploitation strategies differ in tropical old-growth and logged-over forests in Ghana. Biotropica 50 (4): 606-615.
CrossRef | Gscholar
(2)
Alvares CA, Stape JL, Sentelhas PC, De Moraes Gonçalves JL, Sparovek G (2013). Köppen’s climate classification map for Brazil. Meteorologische Zeitschrift 22 (6): 711-728.
CrossRef | Gscholar
(3)
Berenguer E, Ferreira J, Gardner TA, Aragão LEOC, De Camargo PB, Cerri CE, Durigan M, De Oliveira RC, Vieira ICG, Barlow J (2014). A large-scale field assessment of carbon stocks in human-modified tropical forests. Global Change Biology 20 (12): 3713-3726.
CrossRef | Gscholar
(4)
Cambi M, Hoshika Y, Mariotti B, Paoletti E, Picchio R, Venanzi R, Marchi E (2017). Compaction by a forest machine affects soil quality and Quercus robur L. seedling performance in an experimental field. Forest Ecology and Management 384: 406-414.
CrossRef | Gscholar
(5)
Cavelier J (1992). Fine-root biomass and soil properties in a semideciduous and a lower montane rain forest in Panama. Plant and Soil 142: 182-201.
CrossRef | Gscholar
(6)
Chiti T, Perugini L, Vespertino D, Valentini R (2016). Effect of selective logging on soil organic carbon dynamics in tropical forests in central and western Africa. Plant and Soil 399: 1-2.), 283-294.
CrossRef | Gscholar
(7)
Cordeiro AL, Norby RJ, Andersen KM, Valverde-Barrantes O, Fuchslueger L, Oblitas E, Hartley IP, Iversen CM, Gonçalves NB, Takeshi B, Lapola DM, Quesada CA (2020). Fine-root dynamics vary with soil depth and precipitation in a low-nutrient tropical forest in the Central Amazonia. Plant-Environment Interactions 1: 3-16.
CrossRef | Gscholar
(8)
Cordeiro AL, Cusack DF, Dietterich LH, Hockaday A, McFarlane KJ, Sivapalan V, Hedgpeth A, Neupane A, Colburn L, Konwent W, Oppler G, Reu JC, Valdes E, Wright SJ (2024). Root characteristics vary with depth across four lowland seasonal tropical forests. Ecosystems 27: 1104-1122.
CrossRef | Gscholar
(9)
Cunha HFV, Anderson KM, Lugli LF, Santana FD, Aleixo I, Martin Moraes A, Garcia S, Di Ponzio R, Oblitas Mendoza E, Brum B, Schmeisk Rosa J, Cordeiro AL, Portela BTT, Ribeiro G, Deambrozi Coelho S, Trierveiler De Souza S, Siebert Silva L, Antonieto F, Pires M, Salomao AC, Miron AC, De Assis RL, Domingues TF, Aragao LEOC, Meir P, Camargo JL, Manzi A, Nagy L, Mercado LM, Hartley IP, Quesada CA (2022). Direct evidence for phosphorus limitation on Amazon forest productivity. Nature 608: 558-562.
CrossRef | Gscholar
(10)
Cusack DF, Turner BL (2021). Fine root and soil organic carbon depth distributions are inversely related across fertility and rainfall gradients in lowland tropical forests. Ecosystems 24: 1075-1092.
CrossRef | Gscholar
(11)
Da Silva CA, Londe V, Andrade SAL, Joly CA, Viera SA (2020). Fine root-arbuscular mycorrhizal fungi interaction in tropical montane forests: effects of cover modifications and season. Forest Ecology and Management 476: 118478.
CrossRef | Gscholar
(12)
DeArmond D, Ferraz JBS, Higuchi N (2021). Natural recovery of skid trails: a review. Canadian Journal of Forest Research 51 (7): 948-961.
CrossRef | Gscholar
(13)
DeArmond D, Ferraz JBS, De Oliveira LR, Lima AJN, Falcão NP, Higuchi N (2023). Soil compaction in skid trails still affects topsoil recovery 28 years after logging in Central Amazonia. Geoderma 434 (2): 116473.
CrossRef | Gscholar
(14)
DeArmond D, Lima AJN, Higuchi N (2024a). Logging machinery traffic has greatest influence on soil chemical properties in the Amazonian rainy season. Forest Science 70: 179-188.
CrossRef | Gscholar
(15)
DeArmond D, Ferraz JBS, Lima AJN, Higuchi N (2024b). Surface soil recovery occurs within 25 years for skid trails in the Brazilian Amazon. Catena 234: 107568.
CrossRef | Gscholar
(16)
Ebeling C, Fründ H-C, Lang F, Gaertig T (2017). Evidence for increased P availability on wheel tracks 10 to 40 years after forest machinery traffic. Geoderma 297: 61-69.
CrossRef | Gscholar
(17)
Flores Fernández JL, Hartmann P, Von Wilpert K (2019). Planting of alder trees at the edge of skid trails helps to stabilize forest topsoil structure against damage caused by heavy forestry machines. Soil and Tillage Research 187: 214-218.
CrossRef | Gscholar
(18)
Gatti LV, Basso LS, Miller JB, Gloor M, Domingues LG, Cassol HLG, Tejada G, Aragão LEOC, Nobre C, Peters W, Marani L, Arai E, Sanches AH, Corrêa SM, Anderson L, Von Randow C, Correia CSC, Crispim SP, Neves RAL (2021). Amazonia as a carbon source linked to deforestation and climate change. Nature 595 (7867): 388-393.
CrossRef | Gscholar
(19)
Germon A, Laclau J-P, Robin A, Jourdan C (2020). Tamm Review: deep fine roots in forest ecosystems: Why dig deeper. Forest Ecology and Management 466: 118135.
CrossRef | Gscholar
(20)
Huasco WH, Riutta T, Girardin CAJ, Pacha FH, Vilca BLP, Moore S, Rifai SW, Del Aguila-Pasquel J, Murakami AA, Freitag R, Morel AC, Demissie S, Doughty CE, Oliveras I, Cabrera DFG, Baca LD, Amézquita FF, Espejo JES, Da Costa ACL, Mendoza EO, Quesada CA, Ondo FE, Ndong JE, Jeffery KJ, Mihindou V, White LJT, Bengone NN, Ibrahim F, Addo-Danso SD, Duah-Gyamfi A, Djagbletey GD, Owusu-Afriyie K, Amissah L, Mbou AT, Marthews TR, Metcalfe DB, Aragão LEO, Marimon-Junior BH, Marimon BS, Majalap N, Adu-Bredu S, Abernethy KA, Silman M, Ewers RM, Meir P, Malhi Y (2021). Fine root dynamics across pantropical rainforest ecosystems. Global Change Biology 27 (15): 3657-3680.
CrossRef | Gscholar
(21)
Ibrahima A, Mvondo ZEA, Ntonga JC (2010). Fine root production and distribution in the tropical rainforests of south-western Cameroon: effects of soil type and selective logging. iForest 3: 130-136.
CrossRef | Gscholar
(22)
Jahn R, Blume H-P, Aviso VB, Spaargaren O, Schad P (2006). Guidelines for soil description (4th edn). FAO, Rome, Italy.
Gscholar
(23)
Jourgholami M, Ghassemi T, Labelle ER (2019). Soil physio-chemical and biological indicators to evaluate the restoration of compacted soil following reforestation. Ecological Indicators 101: 102-110.
CrossRef | Gscholar
(24)
Jourgholami M, Feghhi J, Tavankar F, Latterini F, Venanzi R, Picchio R (2021a). Short-term effects in canopy gap area on the recovery of compacted soil caused by forest harvesting in old-growth Oriental beech (Fagus orientalis Lipsky) stands. iForest 14: 370-377.
CrossRef | Gscholar
(25)
Jourgholami M, Feghhi J, Picchio R, Tavankar Venanzi F (2021b). Efficiency of leaf litter mulch in the restoration of soil physiochemical properties and enzyme activities in temporary skid roads in mixed high forests. Catena 198: 105012.
CrossRef | Gscholar
(26)
Keller T, Colombi T, Ruiz S, Schymanski SJ, Weisskopf P, Koestel J, Sommer M, Stadelmann V, Breitenstein D, Kirchgessner N, Walter A, Or D (2021). Soil structure recovery following compaction: short-term evolution of soil physical properties in a loamy soil. Soil Science Society of America Journal 85 (4): 1002-1020.
CrossRef | Gscholar
(27)
Klein-Raufhake T, Hölzel N, Schaper JJ, Hortmann A, Elmer M, Fornfeist M, Linnemann B, Meyer M, Rentemeister K, Santora L, Wöllecke J, Hamer U (2024). Severity of topsoil compaction controls the impact of skid trails on soil ecological processes. Journal of Applied Ecology 61: 1817-1828.
CrossRef | Gscholar
(28)
Latterini F, Dyderski MK, Horodecki P, Rawlik M, Stefanoni W, Högbom L, Venanzi R, Picchio R, Jagodzinski AM (2024). A meta-analysis of the effects of ground-based extraction technologies on fine roots in forest soils. Land Degradation and Development 35: 9-21.
CrossRef | Gscholar
(29)
Lin G, Zeng D-H (2017). Heterogeneity in decomposition rates and annual litter inputs within fine-root architecture of tree species: implications for forest soil carbon accumulation. Forest Ecology and Management 389: 386-394.
CrossRef | Gscholar
(30)
McDonald JH (2014). Handbook of Biological Statistics (3rd edn) Sparky House Publishing, Baltimore, Maryland, USA, pp. 305.
Gscholar
(31)
McNabb DH, Startsev A (2022). Seven-year changes in bulk density following forest harvesting and machine trafficking in Alberta, Canada. Forests 13: 553.
CrossRef | Gscholar
(32)
Miyamoto K, Aiba S-I, Aoyagi R, Nilus R (2024). Logging impacts on above- and belowground forest biomass and production in Bornean lowland forests. Tropics 33 (1): 9-26.
CrossRef | Gscholar
(33)
Naghdi R, Solgi A, Labelle ER, Zenner EK (2016). Influence of ground-based skidding on physical and chemical properties of forest soils and their effects on maple seedling growth. European Journal of Forest Research 135 (5): 949-962.
CrossRef | Gscholar
(34)
Pan Y, Birdsey RA, Phillips OL, Houghton RA, Fang J, Kauppi PE, Keith H, Kurz WA, Ito A, Lewis SL, Nabuurs GJ, Shvidenko A, Hashimoto S, Lerink B, Schepaschenko D, Castanho A, Murdiyarso D (2024). The enduring world forest carbon sink. Nature 631 (8021): 563-569.
CrossRef | Gscholar
(35)
Qie L, Lewis SL, Sullivan MJP, Lopez-Gonzalez G, Pickavance GC, Sunderland T, Ashton P, Hubau W, Abu Salim K, Aiba SI, Banin LF, Berry N, Brearley FQ, Burslem DFRP, Dančák M, Davies SJ, Fredriksson G, Hamer KC, Hédl R, Phillips OL (2017). Long-term carbon sink in Borneo’s forests halted by drought and vulnerable to edge effects. Nature Communications 8 (1): 1966.
CrossRef | Gscholar
(36)
Quesada CA, Lloyd J, Schwarz M, Patiño S, Baker TR, Czimczik C, Fyllas NM, Martinelli L, Nardoto GB, Schmerler J, Santos AJB, Hodnett MG, Herrera R, Luizão FJ, Arneth A, Lloyd G, Dezzeo N, Hilke I, Kuhlmann I, Paiva R (2010). Variations in chemical and physical properties of Amazon forest soils in relation to their genesis. Biogeosciences 7 (5): 1515-1541.
CrossRef | Gscholar
(37)
Riutta T, Kho LP, The YA, Ewers R, Majalap N, Malhi Y (2021). Major and persistent shifts in below-ground carbon dynamics and soil respiration following logging in tropical forests. Global Change Biology 27: 2225-2240.
Gscholar
(38)
Rozak AH, Rutishauser E, Raulund-Rasmussen K, Sist P (2018). The imprint of logging on tropical forest carbon stocks: a Bornean case-study. Forest Ecology and Management 417: 154-166.
CrossRef | Gscholar
(39)
Sciumbata M, Wenina YEM, Mbembe M, Dargie GC, Baird AJ, Morris PJ, Ifo SA, Aerts R, Lewis SL (2023). First estimates of fine root production in tropical peat swamp and terra firme forests of the central Congo Basin. Scientific Reports 13: 12315.
CrossRef | Gscholar
(40)
Shabaga JA, Basiliko N, Caspersen JP, Jones TA (2017). Skid trail use influences soil carbon flux and nutrient pools in a temperate hardwood forest. Forest Ecology and Management 402: 51-62.
CrossRef | Gscholar
(41)
Stas SM, Le TC, Tran HD, Hoang TTH, Van Kuijk M, Le Van A, Ngo DT, Van Oostrum A, Phillips OL, Rutishauser E, Spracklen BD, Tran TTA, Le TT, Spracklen DV (2020). Logging intensity drives variability in carbon stocks in lowland forests in Vietnam. Forest Ecology and Management 460: 117863.
CrossRef | Gscholar
(42)
Swiatek B, Pietrzykowski M (2021). Soil factors determining the fine-root biomass in soil regeneration after a post-fire and soil reconstruction in reclaimed post-mining sites under different tree species. Catena 204: 105449.
CrossRef | Gscholar
(43)
Tavankar F, Picchio R, Nikooy M, Jourgholami M, Naghdi R, Latterini F, Venanzi R (2021). Soil natural recovery process and Fagus orientalis Lipsky seedling growth after timber extraction by wheeled skidder. Land 10: 113.
CrossRef | Gscholar
(44)
Tavankar F, Nikooy M, Ezzati S, Jourgholami M, Latterini F, Venanzi R, Picchio R (2022). Long-term assessment of soil physicochemical properties and seedlings establishment after skidding operations in mountainous mixed hardwoods. European Journal of Forest Research 141 (4): 571-585.
CrossRef | Gscholar
(45)
Teixeira PC, Donagemma GK, Fontana A, Teixeira WG (2017). Manual de métodos de análise de solo [Manual of soil analysis methods]. (3rd edn). Embrapa, Brasília, Federal District, Brazil. [in Portuguese]
Gscholar
(46)
Tchiofo Lontsi R, Corre MD, Van Straaten O, Veldkamp E (2019). Changes in soil organic carbon and nutrient stocks in conventional selective logging versus reduced-impact logging in rainforests on highly weathered soils in Southern Cameroon. Forest Ecology and Management 451: 117522.
CrossRef | Gscholar
(47)
Yaffar D, Lugli LF, Wong MY, Norby RJ, Addo-Danso SD, Arnaud M, Cordeiro AL, Dietterich LH, Diaz-Toribio MH, Lee MY, Ghimire OP, Smith-Martin CM, Toro L, Andersen K, McCulloch LA, Meier IC, Powers JS, Sanchez-Julia M, Soper FM, Cusack DF (2023). Tropical root responses to global changes: a synthesis. Global Change Biology 30: e17420.
CrossRef | Gscholar
(48)
Yang Y, Saatchi SS, Xu L, Yu Y, Choi S, Phillips N, Kennedy R, Keller M, Knyazikhin Y, Myneni RB (2018). Post-drought decline of the Amazon carbon sink. Nature Communications 9 (1): 9899.
CrossRef | Gscholar
(49)
Zhao X, Tian Q, Michelsen A, Chen L, Yue P, Feng Z, Lin Q, Zhao R, Liu F (2024). Fine roots and extrametrical mycelia regulate the composition of soil organic carbon and nitrogen in a subtropical montane forest. Forest Ecology and Management 554: 121661.
CrossRef | Gscholar

Authors’ Affiliation

(1)
Daniel DeArmond 0000-0002-5610-6344
Savanah Freitas 0000-0001-6226-1669
Adriano José Nogueira Lima 0000-0001-7865-2410
Niro Higuchi 0000-0002-1203-4502
National Institute de Pesquisas da Amazônia, Av. André Araújo, 2.936 Petrópolis, 69011-970 Manaus, AM (Brazil)

Corresponding author

 

Citation

DeArmond D, Freitas S, Lima AJN, Higuchi N (2025). Short-term recovery of fine root carbon stock is inhibited by skid trails in a humid tropical forest. iForest 18: 344-349. - doi: 10.3832/ifor4756-018

Paper history

Received: Nov 07, 2024
Accepted: May 26, 2025

First online: Nov 30, 2025
Publication Date: Dec 31, 2025
Publication Time: 6.27 months

© SISEF - The Italian Society of Silviculture and Forest Ecology 2025

  Open Access

This article is distributed under the terms of the Creative Commons Attribution-Non Commercial 4.0 International (https://creativecommons.org/licenses/by-nc/4.0/), which permits unrestricted use, distribution, and reproduction in any medium, provided you give appropriate credit to the original author(s) and the source, provide a link to the Creative Commons license, and indicate if changes were made.

Creative Commons Licence

Breakdown by View Type

(Waiting for server response...)

Article Usage

Total Article Views: 179
(from publication date up to now)

Breakdown by View Type
HTML Page Views: 29
Abstract Page Views: 94
PDF Downloads: 51
Citation/Reference Downloads: 0
XML Downloads: 5

Web Metrics
Days since publication: 2
Overall contacts: 179
Avg. contacts per week: 626.50

Article citations are based on data periodically collected from the Clarivate Web of Science web site
(last update: Mar 2025)

(No citations were found up to date. Please come back later)


 

Publication Metrics

by Dimensions ©

List of the papers citing this article based on CrossRef Cited-by.

 

iForest Similar Articles

 

This website uses cookies to ensure you get the best experience on our website. More info